2010 - Trans Tech Publications
ID: 5369264
E-book PDF (26,01 Mb)
Consultabile solo con Adobe Acrobat Reader (scopri come)
12th INTERNATIONAL CERAMICS CONGRESS
208 p.
The 26 peer-reviewed papers collected here together offer a plenitude of up-to-date information on ''Geopolymers and Geocements: Low Environmentally Impact Ceramic Materials''. The papers are conveniently arranged into PREPARATION, CHARACTERIZATION, INDUSTRIALIZATION and APPLICATION. [Publisher's text].
Special access authorizations may apply; please contact us for further information.
Note di contenuto
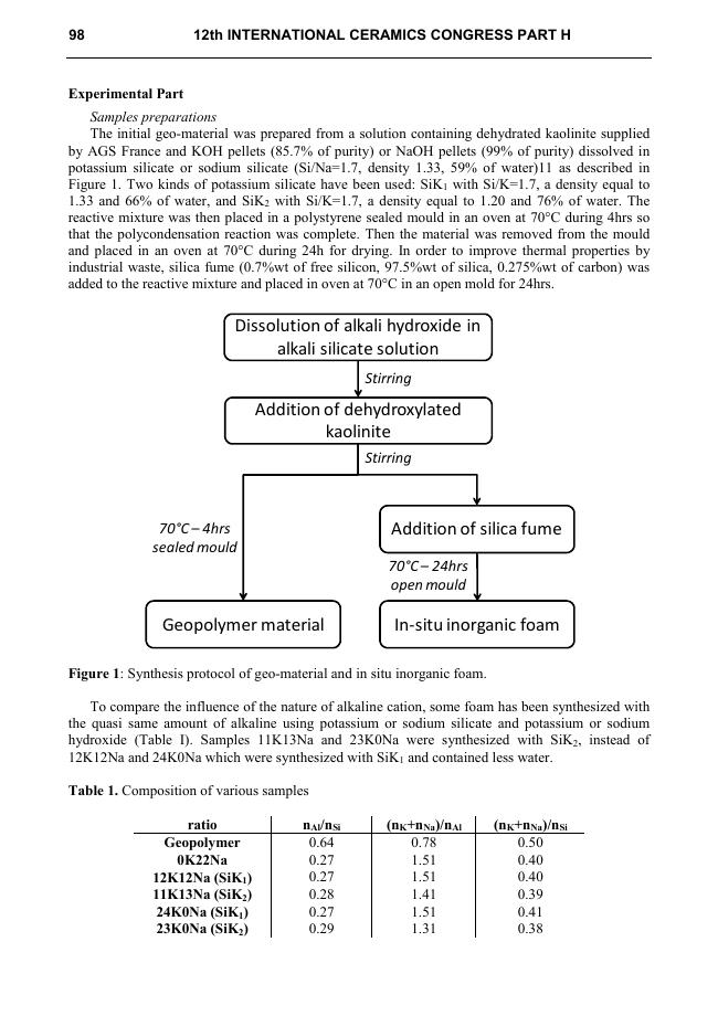
- PART H.
-
Informazioni
ISBN: 9783038134268
Iva esclusa
PDF
