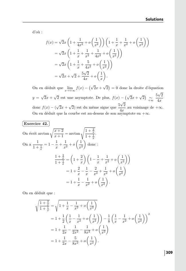
Maths PCSI : Exercices corrigés pour comprendre et réussir
624 p.
Destinés aux étudiants des classes préparatoires scientifiques, les ouvrages de la collection ExoMaths vous permettront d'améliorer vos connaissances et vos capacités à aborder les concours. Les manuels sont classés par chapitres correspondant chacun à un thème du cours. - Les premiers se résolvent par une application directe du cours et mettent en valeur une compétence ou une technique indispensable à assimiler. - Les suivants sont plus étoffés, légèrement plus difficiles et croisent deux ou plusieurs compétences. - Les derniers, plus longs, approfondissent un thème classique et sont aussi utiles pour préparer l'écrit. Outre les énoncés d'exercices et leurs solutions détaillées, chaque chapitre contient: - Le préambule Compétences qui vous guidera pour trouver le ou les exercices qui correspondent à la notion que vous souhaitez assimiler. - Le coup d'oeil sur le chapitre qui vous donnera des conseils et vous indiquera les points névralgiques du programme. - Les coups de pouce qui vous aideront à démarrer les
résolutions d'exercices. Choisis pour leur caractère incontournable, les exercices de ces ouvrages recouvrent tout le programme d'une année et d'une filière; leur parfaite compréhension est l'assurance d'aborder les épreuves, tant écrites qu'orales, dans les meilleures conditions. [Résumé par l'éditeur].
Special access authorizations may apply; please contact us for further information.
-
Información
ISBN: 9782340051867
MATERIAS
